
定制热线:0755-22277778
电话:0755-22277778
手机:13826586185(段先生)
传真:0755-22277776
邮箱:duanlian@xianjinyuan.cn
先进院科技公司专业研发生产导电胶系列,若有特殊使用工艺可单独开发,请电话咨询。
产品简介
600一种单组份的导电胶,粘度适中,具有高导电高导热性能,使芯片与支架有较高的热传导,固化后具有较低的热膨胀系数,高附着力,耐水,耐油等性能。
产品应用
主要用于大功率型芯片,大功率晶元与支架固定,适合自动点胶机与半自动设备点胶。
产品性能参数
|
型号 |
600 |
测试方法 |
|
外观 |
银灰色 |
目测 |
|
粘度范围 |
11000~14000mpa.s |
EHD粘度计 |
|
Chloride Cl- Sodium Na+ |
Ionics(Cl-、Na+) ≤0.8ppm |
Ion Chromatography 离子色谱法 |
|
Tg |
100℃ |
TMA(热机械分析仪) |
|
Coefficient of thermal expansion热膨胀系数 |
34.5 μm/m•k |
TMA (热机械分析仪) |
|
Thermal Conductivity 导热系数 |
25 W/m·k |
Laser radiation 激光辐射 |
|
Volume Resistivity 体积电阻率 |
0.000002 ohm•cm |
Resistance meter 电阻仪 |
|
Cure condition 固化工艺 |
160℃ 60~70min |
Blast drying oven 鼓风干燥烘箱 |
|
Hardness 硬度 |
80 (邵氏D) |
Hardness Tester 硬度测试仪 |
|
Die shear strength 推力强度 |
≥14×107 (N/m2) |
Thrust Tester 推力测试仪 |
|
Storage life @ -20℃ |
≥6 months |
进行对各项指标检测 |
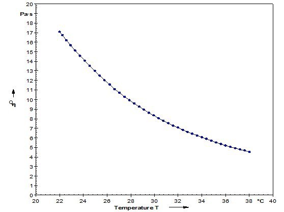
Fg1. 600流变曲线

Fg1.600固化温度与时间的变化曲线

注意事项:
1.胶水在冷冻条件下,须回温到室温,30min以上后方可使用;
2.本品在常温下,操作时间为48h;
3.可根据炉温曲线,选择合适的固化工艺;
4.胶水回温之后未使用完,要及时密封好,进行冷冻储存;
5.切勿与不同类胶混合使用。
包装规格
10g/支,30g/支,100g/罐。
使用说明
1) 解冻后应立即放在使用的设备上。
2) 如果将粘合剂转移到最终的配方库中,必须注意避免将污染物和/或空气滞留在粘合剂中。
3) 在产品推荐使用寿命内使用。
4) 点胶量需达到相应尺寸芯片所需求的胶量。
5) 可根据应用要求使用备用数量。
安全及保护措施
1) 未固化的 600对皮肤及粘膜有刺激性,请避免与眼睛接触或长期与皮肤接触。
2) 如不慎与眼睛发生接触,请用清水冲洗 15 分钟以上并立即就医。
3) 如与皮肤接触产生不适,请擦拭干净后用肥皂水冲洗皮肤。 佩戴隐形眼镜时,如果方便取出,请取出镜片。固化完毕的 600 不慎进入眼睛,将与隐形眼镜结合伤害眼睛。
4) 使用过程中请勿用手揉眼睛。并请做好适当的保护措施,如佩戴眼睛护镜。
5) 请注意做好作业场所的通风措施。请避免吸入其释放气体。
6) 请存放于小孩无法触及的地方。
先进院(深圳)科技有限公司, © 2021 www.leird.cn. All rights reserved 粤ICP备2021051947号-1 © 2021 www.xianjinyuan.cn. All rights reserved 粤ICP备2021051947号-2